Εικόνα που περιέχει κείμενο, χάρτης, παιχνίδι

Περιγραφή που δημιουργήθηκε αυτόματα
ΗΛΕΚΤΡΟΜΑΓΝΗΤΙΣΜΟΣΗΛΕΚΤΡΟΜΑΓΝΗΤΙΣΜΟΣ
ΦΑΙΝΟΜΕΝΑ ΕΠΑΓΩΓΗΣ 3ΦΑΙΝΟΜΕΝΑ ΕΠΑΓΩΓΗΣ 3
©AΝΔΡΕΑΣ ΟΙΚΟΝΟΜΟΥ
Στην ανάλυση που ακολουθεί, θα μελετήσουμε τα φαινόμενα επαγωγής που εμφανίζονται κατά τη διέλευση με σταθερήταχύτητα ενός αγώγιμου άκαμπτου τετραγωνικού πλαισίου, από περιοχή στην οποία υπάρχει ομογενές μαγνητικό πεδίο,έντασης μέτρου Β κάθετο στην επιφάνεια του πλαισίου, όπως φαίνεται στην παρακάτω εικόνα.Στην ανάλυση που ακολουθεί, θα μελετήσουμε τα φαινόμενα επαγωγής που εμφανίζονται κατά τη διέλευση με σταθερήταχύτητα ενός αγώγιμου άκαμπτου τετραγωνικού πλαισίου, από περιοχή στην οποία υπάρχει ομογενές μαγνητικό πεδίο,έντασης μέτρου Β κάθετο στην επιφάνεια του πλαισίου, όπως φαίνεται στην παρακάτω εικόνα.
 
Η μαγνητική ροή  από μια επιφάνεια ορίζεται ως:Η μαγνητική ροή  από μια επιφάνεια ορίζεται ως:
θ είναι η γωνία που σχηματίζει το«διάνυσμα επιφάνειας» με τοδιάνυσμα της έντασης του μαγνητικούπεδίου.θ είναι η γωνία που σχηματίζει το«διάνυσμα επιφάνειας» με τοδιάνυσμα της έντασης του μαγνητικούπεδίου.
Το  διάνυσμα επιφάνειας προσδιορίζει τον προσανατολισμό της επιφάνειας στο χώροΤο  διάνυσμα επιφάνειας προσδιορίζει τον προσανατολισμό της επιφάνειας στο χώρο
και τη θετική φορά  διαγραφής πάνω της.και τη θετική φορά  διαγραφής πάνω της.
Όταν, κατά την εφαρμογή του νόμου της επαγωγής                         , προκύπτει τάση μεθετικό ή αρνητικό πρόσημο, αυτό σημαίνει ότι η τάση αυτή θα προκαλέσει ρεύμα τουοποίου η φορά θα είναι ομόρροπη ή αντίρροπη  της θετικής φοράς που έχει οριστεί στηνεπιφάνεια.Όταν, κατά την εφαρμογή του νόμου της επαγωγής                         , προκύπτει τάση μεθετικό ή αρνητικό πρόσημο, αυτό σημαίνει ότι η τάση αυτή θα προκαλέσει ρεύμα τουοποίου η φορά θα είναι ομόρροπη ή αντίρροπη  της θετικής φοράς που έχει οριστεί στηνεπιφάνεια.
©AΝΔΡΕΑΣ ΟΙΚΟΝΟΜΟΥ
Φάση 1η : Είσοδος του πλαισίου στο πεδίο.Φάση 1η : Είσοδος του πλαισίου στο πεδίο.
 
x=0     xx=0     x
D=2αD=2α
αα
Για το πλαίσιο που θα μελετήσουμε, θεωρούμε το διάνυσμαΓια το πλαίσιο που θα μελετήσουμε, θεωρούμε το διάνυσμα
της επιφάνειας S ομόρροπο με το διάνυσμα της έντασης B,της επιφάνειας S ομόρροπο με το διάνυσμα της έντασης B,
οπότε συνθ=1 και η θετική φορά διαγραφής του πλαισίουείναι αυτή των δεικτών του ρολογιού.οπότε συνθ=1 και η θετική φορά διαγραφής του πλαισίουείναι αυτή των δεικτών του ρολογιού.
Το πρόσημο της τάσης και της έντασηςδηλώνουν ότι η φορά του ρεύματος πουθα προκληθεί θα είναι αντίρροπη τηςθετικής φοράς που ορίστηκε στο πλαίσιο.Το πρόσημο της τάσης και της έντασηςδηλώνουν ότι η φορά του ρεύματος πουθα προκληθεί θα είναι αντίρροπη τηςθετικής φοράς που ορίστηκε στο πλαίσιο.
Το πρόσημο της δύναμης Laplace, δενΤο πρόσημο της δύναμης Laplace, δεν
προέρχεται απ’ το πρόσημο του ρεύματοςπροέρχεται απ’ το πρόσημο του ρεύματος
αλλά απ’ τη φορά της, που είναι αντίρροπηαλλά απ’ τη φορά της, που είναι αντίρροπη
της κίνησης. Η φορά της κίνησης θεωρείταιτης κίνησης. Η φορά της κίνησης θεωρείται
θετική.θετική.
Οι διαφορές δυναμικού σε σημεία τουκυκλώματος, υπολογίζονται με τουςγνωστούς ενεργειακούς κανόνεςΟι διαφορές δυναμικού σε σημεία τουκυκλώματος, υπολογίζονται με τουςγνωστούς ενεργειακούς κανόνες
στο ηλεκτρικό πεδίο στο εσωτερικόστο ηλεκτρικό πεδίο στο εσωτερικό
του κυκλώματος.του κυκλώματος.
©AΝΔΡΕΑΣ ΟΙΚΟΝΟΜΟΥ
x=0          xx=0          x
D=2αD=2α
αα
Φάση 2η : Κίνηση του πλαισίου μέσα στο πεδίο.Φάση 2η : Κίνηση του πλαισίου μέσα στο πεδίο.
 
αα
©AΝΔΡΕΑΣ ΟΙΚΟΝΟΜΟΥ
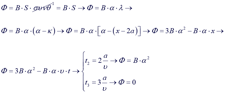
Φάση 3η : Έξοδος του πλαισίου απ’ το πεδίο.Φάση 3η : Έξοδος του πλαισίου απ’ το πεδίο.
 
x=0                        xx=0                        x
D=2αD=2α
αα
λ          κλ          κ
Η δύναμη Laplace συνεχίζεινα αντιτίθεται στην κίνησηΗ δύναμη Laplace συνεχίζεινα αντιτίθεται στην κίνηση
©AΝΔΡΕΑΣ ΟΙΚΟΝΟΜΟΥ
Οι γραφικές παραστάσεις.Οι γραφικές παραστάσεις.
©AΝΔΡΕΑΣ ΟΙΚΟΝΟΜΟΥ
Η μαγνητική ροήΗ μαγνητική ροή
Η επαγωγική τάση στο πλαίσιοΗ επαγωγική τάση στο πλαίσιο
Το επαγωγικό ρεύμαΤο επαγωγικό ρεύμα
Η διαφορά δυναμικού στα σημεία Κ, ΛΗ διαφορά δυναμικού στα σημεία Κ, Λ
δύναμη Laplaceδύναμη Laplace
Επειδή το να μοιράζεσαι πράγματα, είναι καλό για όλους…Επειδή το να μοιράζεσαι πράγματα, είναι καλό για όλους…